रंगद्रव्य लाल 176-कोरीमाक्स लाल एचएफ 3 सी
उत्पादन मापदंड सूची
| रंग अनुक्रमणिका क्रमांक | रंगद्रव्य लाल 176 |
| उत्पादनाचे नांव | कोरिमॅक्स रेड एचएफ 3 सी |
| उत्पादन वर्ग | सेंद्रिय रंगद्रव्य |
| सीएएस क्रमांक | 12225-06-8 |
| EU क्रमांक | 235-425-2 |
| रासायनिक कुटुंब | बेंझिमिडाझोलोन |
| आण्विक वजन | 572.57 |
| आण्विक फॉर्म्युला | C32H24N6O5 |
| पीएच मूल्य | 7 |
| घनता | 1.6 |
| तेल शोषण (मिली / 100 ग्रॅम)% | 40-60 |
| हलकी वेग (कोटिंग) | 6 |
| उष्णता प्रतिरोध (कोटिंग) | 180 |
| हलका वेग (प्लास्टिक) | 6-7 |
| उष्णता प्रतिरोध (प्लास्टिक) | 250 |
| पाणी प्रतिकार | 5 |
| तेल प्रतिकार | 5 |
| .सिड प्रतिकार | 5 |
| क्षार प्रतिकार | 4-5 |
रंग | ![]() |
| ह्यू वितरण |
वैशिष्ट्ये:
रंगद्रव्य रेड 176 एक उत्कृष्ट ब्लूश शेड उच्च कार्यक्षमता रंगद्रव्य आहे, उत्कृष्ट स्थिरता, उच्च उष्णता प्रतिरोधक, पारदर्शक आणि स्थलांतर प्रतिकार आहे.
टीडीएस (रंगद्रव्य लाल 176) MSDS(Pigment Red 176)अर्ज :
औद्योगिक पेंट्स, पावडर कोटिंग्ज, प्रिंटिंग पेस्ट, पीव्हीसी, रबर, पीएस, पीपी, पीई, पीयू, पाण्यावर आधारित शाई, सॉल्व्हेंट इंक, अतिनील शाई
ऑटोमोटिव्ह पेंट्स, आर्किटेक्चरल कोटिंग्ज, कॉईल कोटिंग्ज, ऑफसेट शाई यासाठी सूचविलेले
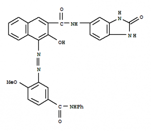
आण्विक रचना:

भौतिक आणि रासायनिक गुणधर्म: निळा आणि लाल हलकीपणा पातळी 6 आहे. औष्णिक स्थिरता 300 above च्या वर आहे. सेंद्रिय दिवाळखोर नसलेला प्रतिकार 4 ते 5 श्रेणी पर्यंत पोहोचतो, स्थलांतर न करता.
उत्पादनांचा वापर: रंग प्लास्टिकसाठी मुख्यतः वापरला जातो.
रंगद्रव्य लाल 176 तपशील :
२-नाफ्थलेनेकार्बॉक्सामाइड, एन- (२,3-डायहाइड्रो-२-ऑक्सो -१ एच-बेंझिमिडाझोल---यिल) -3-हायड्रॉक्सी -4- [2- [2-मेथॉक्सी -5 - [(फेनिलेमिनो) कार्बोनिल] फिनाईल ] डायजेनिल] - सी 32 एच 24 एन 6 ओ 5 या सूत्रासह एक सेंद्रिय कंपाऊंड आहे. या रसायनाचे पद्धतशीर नाव 3-हायड्रॉक्सी-4- [2-मेथॉक्सी-5- (फिनालकार्बॉमोयल) फिनाईल] oझो-एन- (2-ऑक्सो -1,3-डायहाइड्रोबेन्झिमिडाझोल-5-येल) नेफथलेन-2-कार्बॉक्सामाइड आहे. सीएएस रेजिस्ट्री क्रमांक 12225-06-8 सह, त्याला एन-(2,3-डायहाइड्रो-2-ऑक्सो -1 एच-बेंझिमिडाझोल-5-येल) -3-हायड्रॉक्सी -4 असेही नाव देण्यात आले आहे [[२-मेथॉक्सी- 5 - [(फेनिलॅमीनो) कार्बोनिल] फिनायल] oझो] नेफ्थलीन -2-कार्बॉक्सामाइड. उत्पादनाची श्रेणी सेंद्रिय आहे.
2-नेफ्थलेनेकार्बॉक्साइड, एन- (2,3-डायहाइड्रो-2-ऑक्सो -1 एच-बेंझिमिडाझोल-5-येल) -3-हायड्रॉक्सी -4- [2- [2-मेथॉक्सी -5 - [फेनिलॅमीनो) कार्बोनिल बद्दलचे भौतिक गुणधर्म ] फिनाइल] डायजेनाइल] - आहेत: (1) एसीडी / लॉगपी: 6.96; (2) # नियमांचे 5 उल्लंघन: 4; (3) एसीडी / लॉगडी (पीएच 5.5): 6.95; (4) एसीडी / लॉगडी (पीएच 7.4): 6.95; (5) # एच बाँड स्वीकारणारे: 11; (6) # एच बाँड दाता: 5; (7) # विनामूल्य फिरणारे बंध: 8; (8) ध्रुवीय पृष्ठभाग क्षेत्र: 153.51 Å2; (9) अपवर्तन सूचकांक: 1.721; (10) मोलर रीफ्रॅक्टिव्हिटी: 157.67 सेमी 3; (11) मोलर व्हॉल्यूम: 398.6 सेमी 3; (12) ध्रुवीकरणक्षमता: 62.5 × 10-24 सेमी 3; (13) पृष्ठभाग ताण: 61 डाय / सेमी; (14) घनता: 1.43 ग्रॅम / सेमी 3; (15) फ्लॅश पॉईंट: 357.3 डिग्री सेल्सियस; (16) वाष्पीकरणाची एन्थॅल्पी: 101.63 केजे / मोल; (17) उकळत्या बिंदू: 667.2 ° से 760 मिमीएचजी वर; (18) वाष्प दाब: २E डिग्री सेल्सिअस तापमानात 2.05E-18 मिमीएचजी.










